С возрастом многие мужчины сталкиваются с избыточным жиром на животе и боках, что негативно влияет на внешний вид и здоровье. В этой статье рассмотрим эффективные методы и советы для уменьшения объема талии, улучшения физической формы и общего самочувствия. Правильное питание, физическая активность и здоровый образ жизни помогут достичь желаемых результатов и сохранить здоровье в зрелом возрасте.
Как убрать жир с живота у мужчин
Недавно один мой знакомый обратился ко мне за советом о том, как эффективно избавиться от жира на животе.
После развода с супругой, с которой он прожил 11 лет, он вновь начал активно знакомиться с новыми людьми.
Он признался, что его физическая форма уже не та, что была в молодости, когда они только начали встречаться.
Вместо того чтобы давать ему советы, которые могут быть забыты, я решил поделиться с ним статьей о том, как мужчины старше 30 лет могут уменьшить объем живота.
Однако, к моему удивлению, я не смог найти подходящей информации.
Большинство материалов, которые я нашел, оказались совершенно бесполезными.
Например, была статья, утверждающая, что можно «сжечь» жир на животе всего лишь с помощью ладони.
Это не шутка.
Поэтому, чтобы исправить эту ситуацию, я решил написать статью, в которой подробно рассказывается о том, как избавиться от живота у мужчин после 30 лет, когда обмен веществ уже не так быстр.
Статья получилась более объемной, чем я изначально планировал.
Если у вас нет времени или вы предпочитаете краткие советы, то, возможно, эта статья не для вас.
Также, если вы ищете мгновенные решения, такие как специальные упражнения, чудодейственные гормоны или продукты, которые быстро изменят вашу фигуру, возможно, стоит отложить чтение.
Но если вы действительно настроены на снижение веса в области живота, то вы попали по адресу.
Мнение эксперта:
Устранение жира на животе и боках у мужчин в возрасте от 30 до 40 лет требует комплексного подхода. Специалисты рекомендуют сочетать регулярные физические нагрузки, такие как кардио и силовые тренировки, с правильным питанием. Важно следить за количеством потребляемых калорий и отдавать предпочтение белкам, овощам и полезным жирам. Также следует ограничить потребление сахара и быстрых углеводов. Для достижения наилучших результатов рекомендуется обратиться к профессионалам — тренеру и диетологу, чтобы разработать индивидуальную программу, учитывающую особенности вашего организма и цели по снижению веса.

Как убрать живот и бока мужчине: с чего начать?
Часто говорят, что для того чтобы избавиться от жира, нужно заниматься аэробикой и тренироваться с тяжестями, чтобы нарастить мускулатуру. Но данное утверждение лишь отчасти является правдивым.
Думайте о том, что ваш жир на животе – это счет в банке. Но вместо того, чтобы хранить деньги, он хранит энергию.
Если вы хотите, чтобы сумма денег, которая хранится на вашем счету в банке, убывала, вам нужно тратить больше, чем вы зарабатываете. Точно также, избавление от жира на животе – это создание дефицита энергии, с помощью «траты» большего количества энергии, чем вы получаете из пищи.
Единственная правильная рекомендация, когда речь идет о потере веса, — это дефицит энергии. Этот дефицит вы можете получить, используя диету, постоянные упражнения или аэробику. Также вы можете сочетать все вышесказанное.
| Категория | Совет | Пример/Пояснение |
|---|---|---|
| Питание | Сократите потребление быстрых углеводов и сахара | Исключите сладкие напитки, выпечку, конфеты, фастфуд. Замените их цельнозерновыми продуктами, фруктами и овощами. |
| Увеличьте потребление белка | Включите в рацион нежирное мясо (курица, индейка), рыбу, яйца, творог, бобовые. Белок способствует насыщению и сохранению мышечной массы. | |
| Ешьте больше клетчатки | Овощи, фрукты, цельнозерновые крупы. Клетчатка улучшает пищеварение и помогает контролировать аппетит. | |
| Пейте достаточно воды | Не менее 2-3 литров чистой воды в день. Вода ускоряет метаболизм и помогает выводить токсины. | |
| Ограничьте алкоголь | Алкоголь содержит много пустых калорий и способствует накоплению жира в области живота. | |
| Физическая активность | Включите кардиотренировки | Бег, плавание, езда на велосипеде, быстрая ходьба 3-5 раз в неделю по 30-60 минут. |
| Добавьте силовые тренировки | 2-3 раза в неделю. Работа с весами или собственным весом (отжимания, приседания, планка). Увеличивают мышечную массу, которая сжигает больше калорий. | |
| Выполняйте упражнения на пресс | Планка, скручивания, подъемы ног. Важно помнить, что локальное жиросжигание невозможно, но укрепление мышц кора улучшит внешний вид. | |
| Больше двигайтесь в течение дня | Откажитесь от лифта, ходите пешком, делайте перерывы на разминку во время работы. | |
| Образ жизни | Контролируйте стресс | Стресс повышает уровень кортизола, который способствует накоплению жира на животе. Практикуйте медитацию, йогу, хобби. |
| Высыпайтесь | Недостаток сна нарушает гормональный баланс и может приводить к увеличению аппетита и накоплению жира. Спите 7-9 часов в сутки. | |
| Регулярно отслеживайте прогресс | Взвешивайтесь, измеряйте объемы, делайте фото. Это поможет поддерживать мотивацию. | |
| Будьте терпеливы и последовательны | Избавление от жира на животе – это процесс, требующий времени и усилий. Не ждите мгновенных результатов. |
Интересные факты
Вот несколько интересных фактов о том, как избавиться от жира на животе и боках для мужчин в возрасте 30-40 лет:
-
Метаболизм и возраст: С возрастом метаболизм мужчин замедляется, что делает более сложным процесс сжигания жира. После 30 лет уровень тестостерона может снижаться, что также влияет на распределение жира в организме. Поэтому важно не только следить за диетой, но и включать в режим физические нагрузки, которые помогут поддерживать мышечную массу и ускорить обмен веществ.
-
Роль стресса: Уровень стресса может значительно влиять на накопление жира в области живота. При стрессе организм вырабатывает кортизол, который способствует накоплению жира, особенно в области живота. Практики управления стрессом, такие как медитация, йога или регулярные физические упражнения, могут помочь снизить уровень кортизола и, соответственно, уменьшить жировые отложения.
-
Силовые тренировки и кардио: Комбинация силовых тренировок и кардионагрузок является наиболее эффективной стратегией для снижения жира на животе. Силовые тренировки помогают нарастить мышечную массу, что увеличивает общий расход калорий в состоянии покоя, а кардио помогает сжигать калории во время тренировки. Исследования показывают, что мужчины, которые совмещают оба типа тренировок, достигают лучших результатов в снижении жира на животе.
Силовые тренировки для сжигания жира в области боков и живота
Подъем тяжестей приносит пользу не только тем, кто стремится увеличить мышечную массу, но и способствует улучшению фигуры несколькими способами. Возможно, вам трудно представить, как силовые тренировки могут помочь избавиться от жира на животе и боках, ведь многие считают, что для этого лучше подходят длительные кардионагрузки, а не работа с весами. Однако…
Во-первых, если вы не занимаетесь физической активностью во время соблюдения диеты, то большая часть потерянного веса будет состоять из мышечной массы и жира. Уменьшение мышечной ткани может привести к более быстрому снижению веса, так как мышцы требуют меньше энергии для поддержания, чем жировые отложения.
Тем не менее, такой подход приведет лишь к уменьшению вашего размера, оставляя «обвислые бока» на прежнем уровне.
Во-вторых, при правильно составленной программе силовых тренировок вы сможете сжигать жир как во время занятий, так и после них.
В одном из исследований, проведенном в Университете Восточной Каролины, группа из восьми мужчин занималась подъемом тяжестей в течение 40-45 минут. У каждого участника был установлен микродиализный зонд в области живота, что позволило ученым измерить количество высвобожденного жира из жировых клеток под кожей до, во время и после тренировки.
Результаты показали следующее:
Скорость метаболизма увеличилась на 10% после силовой тренировки (104 калории в час), по сравнению с обычным днем (95 калорий в час). При этом скорость сжигания жира удвоилась (10 против 5 калорий в час) после силовых упражнений.
После тренировки метаболизм также увеличился на 10% (104 калории в час). Но это еще не все. Количество высвобожденного жира из жировых клеток в области живота возросло на 80% во время и сразу после тренировки.
Иными словами, силовые тренировки способствуют сжиганию жира, причем часть жира уходит именно из области живота.
Хотя многие исследования, сравнивающие силовые тренировки с аэробными, показали, что в целом аэробные упражнения более эффективны для борьбы с жиром на животе.
Тем не менее, многие из этих исследований использовали программы силовых тренировок с низкими метаболическими требованиями – упражнения на тренажерах, часто односуставные, изолирующие небольшие мышечные группы, и общий объем тренировки был невелик.
Тренировки с высоким метаболическим требованием – это совершенно другой уровень.
Речь идет о таких упражнениях, как приседания, подъемы тяжестей, гребля, подтягивания (или отжимания) и жим (лежа на скамье или за головой), с использованием веса, позволяющего выполнить от 5 до 15 повторений в подходе.
При таких тренировках вы будете сжигать калории как во время занятий, так и после них. Если вы не собираетесь выходить на ринг с Джорджем Сент-Пьерром, нет необходимости проводить в зале более 45 минут. Этого времени вполне достаточно для достижения желаемых результатов.

Продукты, чтобы избавиться от жира на животе
Как насчет так называемых «продуктов для похудения»?
Один из вопросов, который приходит мне на почту практически ежедневно, сосредоточен на отдельных продуктах для похудения.
Кажется, что люди хотят услышать, что есть «хорошие» и «плохие» продукты, и, если вы хотите сбросить вес, то все, что вам нужно делать – есть меньше плохих, и больше хороших продуктов.
Не люблю приносить плохие новости, но мысль о том, что существуют определенные продукты (черника, темный шоколад, авокадо и т.д.), которые каким-то образом сожгут жир, — это полная ерунда.
Но именно та ерунда, которая, кажется, всплывает повсеместно: ежедневно по телевидению или в этих беззаботных журнальчиках, где нет других статей, кроме «Хватит захламлять свою жизнь» или «Я в порядке, и вы в порядке».
Существуют определённые виды «горячих» продуктов (например, красный перец), которые ускоряют ваш обмен веществ. Но общий эффект относительно мал, и влияние краткосрочного ускорения метаболизма на похудение является спорным вопросом.
Я рискую повториться, но избавление от жира на животе предполагает дефицит энергии, и именно ваш общий рацион питания, а не определенные продукты, является определяющим фактором вашего похудения.
Белковое питание для сжигания жира на животе и боках
Существует мнение, что белок — это ключевое питательное вещество, способствующее ускорению процесса сжигания жира в области живота.
Научные исследования подтверждают, что белок обеспечивает более длительное чувство насыщения по сравнению с углеводами и жирами. Завтрак, богатый белком, может помочь снизить аппетит в течение дня.
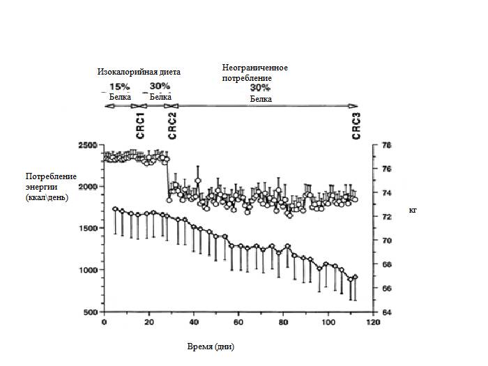
Ниже представлена диаграмма, основанная на исследовании, проведенном в Университете Вашингтона, где участникам было предложено удвоить потребление белка. Круги в верхней части показывают количество калорий, потребляемых ежедневно, а ромбы внизу — изменения в весе.
Увеличение потребления белка способствовало естественному снижению калорийности рациона на протяжении всего исследования. В среднем участники стали потреблять на 441 калорию меньше в день.
Кроме того, белок помогает сохранить мышечную массу во время процесса похудения. Недостаток этого элемента в рационе может привести не только к уменьшению жировой ткани, но и к потере мышц.
Белок также значительно увеличивает термический эффект пищи по сравнению с углеводами и жирами.
Например, шоколадка (состоящая в основном из углеводов и жиров) и куриная грудка (содержащая в основном белок) могут иметь одинаковое количество калорий. Однако переваривание куриного филе требует больше энергии, чем переваривание шоколадки, благодаря термическому эффекту белка.
Энергия, необходимая для переваривания и усвоения белка, превышает таковую для углеводов и жиров.
Организм обрабатывает жиры, белки и углеводы по-разному, что влияет на количество калорий, которые можно извлечь из каждого из этих макронутриентов.
Состав вашего рациона имеет огромное значение. Он влияет на гормональный баланс, аппетит, уровень энергозатрат и другие факторы, определяющие, сколько из потерянного веса составляют мышцы, а сколько — жир.
В общем,
количество калорий влияет на общий вес, а
качество калорий определяет, откуда именно уходит этот вес.
Иными словами, контролировать калории недостаточно, если не учитывать качество питания.
Для эффективного сжигания жира на животе необходим дефицит энергии. Не поддавайтесь соблазну следовать диетам, обещающим «новые и революционные» методы похудения.
Четыре основных шага — создание дефицита калорий, увеличение потребления белка, сочетание силовых тренировок с кардио — оказываются более эффективными, чем традиционные диеты с высоким содержанием углеводов и кардио для сжигания жира в области живота.

Кортизол и жир на животе
Некоторые считают, что подъем уровня кортизола, обусловленный излишними упражнениями, на самом деле сделает ваш живот даже больше.
Данное мнение основано на исследованиях, показывающих связь между выделением кортизола при стрессе и жиром в области живота.
Говоря научным языком, клетки внутреннего жира более «метаболически активны», чем клетки подкожного жира. Они не только более чувствительны к воздействию циркуляции кортизола, чем клетки жира в других частях вашего организма, они также имеют больше рецепторов, которые отвечают кортизолу активацией ферментов, которые накапливают жир.
Однако связь между жиром в области живота и кортизолом имеет немного общего с краткосрочным подъемом кортизола, который возникает во время и после упражнений.
Настоящие проблемы начинаются, когда уровень кортизола остается высоким длительное время, что часто вызвано постоянным физиологическим и (или) психологическим стрессом.
Люди с повышенным выделением кортизола в ответ на стресс (гиперсекреция) – это те, кто чаще всего заедает стресс, и соответственно кушает больше. Когда им предоставляют выбор продуктов питания, они, как правило, выбирают еду с высоким содержанием жиров и сахара.
Так что, если у вас повышенная секреция кортизола, существует большая возможность, что вы будете тянуться за «комфортными» продуктами с большим содержание сахара и жиров, находясь в стрессовой ситуации. Кроме того, многие дополнительные калории, которые вы потребляете, пытаясь заесть стресс, осядут именно в виде жира в области вашего живота.
Повторю еще раз, эти проблемы связаны с длительным воздействием высокого уровня кортизола. Кратковременный подъем кортизола во время и после выполнения упражнений – это не то о чем стоит волноваться.
Я знаю, что есть добавки, которые обещают вам помочь избавиться от жира в области живота, благодаря снижению уровня кортизола. Компании, продающие такие продукты, провели небольшие исследования, перекрутили их на свой манер и используют для продажи своих товаров.
Они говорят вам, что «это не ваша вина» в том, что вы толстый. Это все из-за кортизола. Просто примите эту таблетку, ваш уровень кортизола снизится, а жир на животе исчезнет, как по волшебству.
Это, конечно же, полная ерунда. Кортизол действительно имеет потенциал для набора веса, но это в основном из-за влияния, которое он оказывает на ваш аппетит. Он не станет причиной того, что вы поправились при условии отсутствия избыточной энергии, также как и не станет причиной похудения, если не будет дефицита энергии.
Упражнения, чтобы убрать живот для мужчин
Существуют ли специальные тренировки, которые помогают быстро избавиться от жира на животе?
Краткий ответ – нет.
Сжечь жир на животе только с помощью скручиваний не получится.
Упражнения, сосредоточенные исключительно на области живота, неэффективны для снижения веса. То же самое касается приседаний, упражнений «Велосипед», подъема ног и других тренировок для пресса.
Эти упражнения помогут укрепить мышцы пресса, которые находятся под слоем жира на животе.
Тем не менее, они не уберут жир, пока вы не дополните тренировки правильным питанием, способствующим предотвращению накопления жира и даже его сжиганию.
Исследование, проведенное в Иллинойсе, включало 24 участника, разделенных на две группы. Одна группа не занималась физической активностью, а вторая выполняла семь упражнений для пресса (по 2 подхода по 10 повторений) пять дней в неделю на протяжении полугода.
После шести недель выполнения в общей сложности 4200 повторений различных упражнений для пресса не было замечено «значительных результатов» в уменьшении жира на животе. Не стоит тратить время на попытки избавиться от жира на животе только с помощью упражнений для пресса.
Регулярные кардио тренировки для уменьшения жира на животе и боках
Одним из эффективных способов избавления от жира на животе и боках у мужчин после 30-40 лет являются регулярные кардио тренировки. Кардио тренировки способствуют увеличению сердечно-сосудистой выносливости, что помогает сжигать лишние калории и жирные отложения.
Для достижения видимых результатов необходимо выбрать подходящий вид кардио тренировок, который будет соответствовать физической подготовке и здоровью мужчины. Это может быть бег, езда на велосипеде, плавание, скакалка, аэробика или другие виды активности, способствующие ускоренному сердцебиению.
Рекомендуется проводить кардио тренировки не менее 3-4 раз в неделю, соблюдая оптимальную интенсивность и длительность занятий. Для начала можно стартовать с небольших нагрузок и постепенно увеличивать их, чтобы избежать переутомления и травм.
Важно помнить, что кардио тренировки эффективны в сочетании с правильным питанием и регулярными силовыми упражнениями. Комплексный подход к тренировкам и здоровому образу жизни поможет мужчине достичь желаемых результатов и уменьшить жир на животе и боках.
Психологические аспекты похудения и мотивация
Похудение, особенно в области живота и боков, требует не только физической активности и правильного питания, но и значительной психологической подготовки. Понимание своих мотивов и установка реалистичных целей играют ключевую роль в успешном процессе снижения веса.
Первым шагом на пути к похудению является осознание своих истинных причин для изменения. Это может быть желание улучшить здоровье, повысить уверенность в себе или подготовиться к важному событию. Запишите свои мотивы и держите их на виду, чтобы они служили источником вдохновения в трудные моменты.
Важно установить конкретные, измеримые и достижимые цели. Вместо абстрактного желания «похудеть», лучше сформулировать цель, например, «сбросить 5 кг за 2 месяца». Это поможет вам отслеживать прогресс и сохранять мотивацию. Разделите большую цель на более мелкие этапы, чтобы каждый достигнутый результат приносил удовлетворение и подстегивал к дальнейшим усилиям.
Психологическая поддержка также играет важную роль в процессе похудения. Общение с единомышленниками, участие в группах поддержки или работа с тренером могут значительно повысить вашу мотивацию. Обсуждение своих успехов и трудностей с другими людьми поможет вам не чувствовать себя одиноким в этом процессе и получить дополнительные советы и поддержку.
Не забывайте о важности позитивного мышления. Вместо того чтобы фокусироваться на том, что вам не удается, старайтесь отмечать свои достижения, даже если они кажутся незначительными. Позитивный подход поможет вам сохранять мотивацию и не сдаваться при первых трудностях.
Также стоит учитывать, что изменения в образе жизни требуют времени. Будьте готовы к тому, что результаты могут не проявляться сразу. Важно сохранять терпение и не опускать руки, если вес не уходит так быстро, как хотелось бы. Помните, что устойчивые изменения требуют времени и усилий.
Наконец, важно научиться справляться со стрессом и эмоциональным состоянием, так как они могут стать причиной переедания. Найдите альтернативные способы расслабления и снятия напряжения, такие как занятия спортом, медитация или хобби. Это поможет вам избежать соблазна заедать стресс и поддерживать мотивацию на высоком уровне.
В заключение, психологические аспекты похудения играют не менее важную роль, чем физические. Осознание своих мотивов, установка реалистичных целей, поиск поддержки и развитие позитивного мышления помогут вам успешно избавиться от жира на животе и боках и достичь желаемых результатов.
Вопрос-ответ
Как 40-летнему мужчине избавиться от жира на животе?
Силовые тренировки рекомендуется выполнять не реже двух раз в неделю. Если вы хотите похудеть или достичь определённых фитнес-целей, вам может потребоваться больше физических нагрузок. Существуют данные, что высокоинтенсивные интервальные тренировки (ВИИТ) могут помочь уменьшить жир на животе, как и силовые тренировки.
Почему после 30 растет живот у мужчин?
Почему у мужчин появляется живот? Жир на животе у мужчин — одна из самых распространённых проблем. Основные причины: избыток калорий, малоподвижный образ жизни, стресс, гормональные сбои (особенно снижение тестостерона), злоупотребление алкоголем и быстрыми углеводами.
Что лучше всего сжигает жир на животе и боках?
Кардиотренировки, такие как бег, плавание и езда на велосипеде, помогут ускорить обмен веществ и сжигать калории. Также рекомендуется выполнять упражнения для мышц пресса и боковых мышц живота. Хорошо зарекомендовали себя в борьбе с висцеральным (абдоминальным) ожирением интервальные нагрузки.
Как избавиться от жировых отложений на животе в 40 лет?
Вы не можете изменить закономерности накопления жира в организме. Но когда вы теряете жир и наращиваете мышцы с помощью диеты и упражнений, ваш живот, скорее всего, уменьшится, и вы можете избавиться от жировых отложений на талии. Некоторые исследования показали, что физические упражнения даже более эффективны для уменьшения жировых отложений на животе, чем для общего снижения веса.
Советы
СОВЕТ №1
Начните с изменения рациона питания. Уменьшите потребление сахара и простых углеводов, таких как белый хлеб и сладости. Вместо этого увеличьте количество белка, овощей и здоровых жиров в вашем рационе. Это поможет ускорить обмен веществ и снизить уровень жира на животе.
СОВЕТ №2
Регулярно занимайтесь физической активностью. Силовые тренировки, кардио и высокоинтенсивные интервальные тренировки (HIIT) помогут сжигать калории и укреплять мышцы. Постарайтесь уделять хотя бы 150 минут умеренной физической активности в неделю.
СОВЕТ №3
Следите за уровнем стресса. Хронический стресс может привести к увеличению жира на животе из-за повышения уровня кортизола. Практикуйте методы релаксации, такие как медитация, йога или простые дыхательные упражнения, чтобы снизить уровень стресса и улучшить общее самочувствие.
СОВЕТ №4
Обратите внимание на качество сна. Недостаток сна может негативно сказаться на обмене веществ и способствовать накоплению жира. Стремитесь спать не менее 7-8 часов в сутки и создайте комфортные условия для сна, чтобы улучшить его качество.





